11kw電機的制動力矩是多少?如何定量計算?
制動力矩的作用是阻礙電機啟動的轉矩,是要通過轉矩和脈沖加強電機的啟動能力,當電機極對數不同的時候,制動轉矩也會不同。那么,11kw電機的制動力矩是多少?制動力矩如何定量計算? 下面我們一起跟小編來了解學習一下。
11kw電機的制動力矩多少
1、標準的電機在不通電的狀態下電機是沒有力矩的,可以自由轉動,制動力矩是帶制動器的步進電機,制動器可以分為1N.m 2N.m 4N.m 6N.m。
2、根據M=CmΦI,電機的CmΦ是固定的,M正比于I。在制動的過程中I不變的話,制動力矩就不會變,會隨著制動的轉速降低而減小感應電勢,制動的電流減小,制動力矩也會減小。
3、制動器制動力矩大小M=Fi2μηr,F-氣室推力;i-壓力臂增力比;μ-摩擦系數;η-效率;r-制動器制動半徑。
4、制動力矩大小和壓力有關,制動器提供的制動效果,最終是一個力矩的形式。
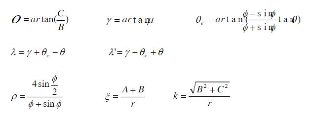
電機的制動力矩定量計算
根據制動器結構參數可知A、B、C、r、φ、θ為最大壓力線和水平線的夾角。

下面我們舉例一個公式計算,可以更清楚11kw電機的制動力矩是如何定量計算的。
某Φ400X180制動器,A=150 B=150 C=30 r=0.2 Φ=115°=0.35=0.63
通過上公式計算得=1.530 =0.543
=1.603
取F=9900N(0.6MPa氣壓下氣室輸出力) L=125 e=12
=/2e=1.603*9900*125*0.63*0.2/(2*12)
=10414N.m
11kw電機的制動力矩是根據電機的大小和壓力來制定的,電機的制動力矩定量計算過程是比較復雜的,按照以上的計算公式,大家可以嘗試算一下。每個不同大小的電機的制動力矩計算的結果是不一樣的,但是計算過程都是一樣的。
常見的電機有哪幾種類型?都是普遍用的型號
伺服電機工作原理及驅動器原理圖
- 步進電機控制器怎么接按鍵操作?步進電機控制器接按鍵操作的步驟2023-03-08
- 步進電機的力矩和扭力怎么知道?步進電機的力矩和扭力的區別2023-03-08
- 步進電機跟伺服電機怎么看出來?進電機與伺服電機的區別2023-03-08
- 錐形轉子三相異步電機怎么制動?2023-03-08
- 請問單相電機怎么才把轉速變慢,如何解決單相電機轉速變慢的問題2023-03-08
- 縫紉機節能電機正反轉怎么調整?節能電機正反轉調整方法2023-03-08
- 粉塵防爆22區的電機怎么選型?電機選型技術要求2023-03-08
- 頂樓電機風扇震動噪音大怎么辦?解決頂樓電機風扇震動噪音大的方法2023-03-08
- 顛倒閘怎么控制單相電機正反轉?顛倒閘控制單相電機正反轉的方法2023-03-08
- 車庫卷簾門電機怎么調上下止點?調整完成后的檢查2023-03-08
- sew制動電機怎么調節剎車片?2023-03-02
- sew制動電機怎么換電機軸承2023-03-02